728x90
반응형
문제
평소 반상회에 참석하는 것을 좋아하는 주희는 이번 기회에 부녀회장이 되고 싶어 각 층의 사람들을 불러 모아 반상회를 주최하려고 한다.
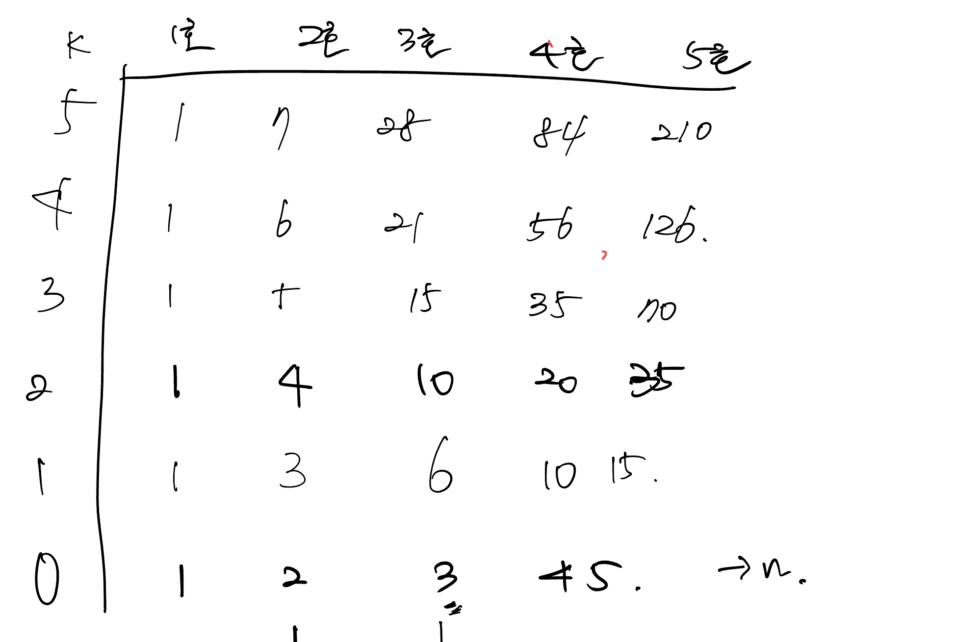
이 아파트에 거주를 하려면 조건이 있는데, “a층의 b호에 살려면 자신의 아래(a-1)층의 1호부터 b호까지 사람들의 수의 합만큼 사람들을 데려와 살아야 한다” 는 계약 조항을 꼭 지키고 들어와야 한다.
아파트에 비어있는 집은 없고 모든 거주민들이 이 계약 조건을 지키고 왔다고 가정했을 때, 주어지는 양의 정수 k와 n에 대해 k층에 n호에는 몇 명이 살고 있는지 출력하라. 단, 아파트에는 0층부터 있고 각층에는 1호부터 있으며, 0층의 i호에는 i명이 산다.
입력
첫 번째 줄에 Test case의 수 T가 주어진다. 그리고 각각의 케이스마다 입력으로 첫 번째 줄에 정수 k, 두 번째 줄에 정수 n이 주어진다
출력
각각의 Test case에 대해서 해당 집에 거주민 수를 출력하라.
제한
- 1 ≤ k, n ≤ 14
예제 입력 1 복사
2
1
3
2
3
예제 출력 1 복사
6
10
문제가 조금 이해하기 힘들었다. 1부터 쭉 다 더하라는 소린지 뭔지 근데 자세히 읽어보니 이런 느낌이었다.

근데 패턴이 안보였다..
분명히 무식하게 다 더하는 것이 아니라 규칙을 활용할 수 있을텐데 규칙이 매번 달라질 수 있어서 고민이 많았으나..
재귀함수로 어떻게든 구현이 될 것 같아서 작업했다.
그 결과로 나온 코드는 다음과 같다
"""
1,2,3일경우
1,1+2,1+2+3 이 다음 층 값이다.
"""
times = int(input())
for _ in range(times):
k = int(input())
n = int(input())
under = []
for i in range(1, n+1):
under.append(i)
def up(under, k): # 0층에는 목표로하는 n호수까지 1부터 순차적으로 들어있다. 그 값으로 시작해서 천천히 올라간다.
if k == 1 : # 함수가 돌때마다 k값을 줄일텐데 1층이 궁금하면 0층까지의 합이 나와야하므로 k-1에서 스탑하고 아랫층의 인원을 모두 더한값을 본다
return sum(under)
else:
down = under.copy() # 들어온 리스트값을 복사한다. 재귀함수를 쓸 때 좀더 직관적으로 보려고..그리고 합과 빈리스트가 필요하니까
under = []
for i in range(len(down)): # 103호가 목표라면 3번 돌린다.
under.append(sum(down[:i+1])) # 이전에 있던 리스트에서 돌아갈 때마다 하나씩 더해서 새로운 under에 넣는다.
return up(under, k-1) # 다시 up함수를 탄다.
print(up(under, k))
이렇게 반복작업이 나오는 경우에 재귀함수는 큰 도움이 되는 듯하다.
728x90
반응형
'코딩테스트' 카테고리의 다른 글
| [프로그래머스] 신고 결과 받기 (0) | 2022.07.11 |
|---|---|
| [프로그래머스] 오픈채팅방 (0) | 2022.07.11 |
| [백준] 나무 조각 (0) | 2022.06.24 |
| [백준] 주사위 세개 (0) | 2022.06.16 |
| [백준] 파티가 끝나고 난 뒤 (0) | 2022.06.16 |